黄河三角洲(YRD)是全球陆海相互作用最活跃的三角洲之一。然而,由于人类活动和气候变化的影响,该地区时刻经历着剧烈变化,包括海水入侵导致的自然湿地退化以及湿地类型的转变。作为土壤微生物的重要组成部分,真菌在维持和稳定湿地生态系统功能方面发挥着关键作用。为了更好地了解黄河三角洲不同植被演替阶段真菌群落组成与多样性变化及其与环境因素的关系,鲁东大学滨海生态高等研究院管博教授团队对黄河口湿地四个典型植被演替群落(从河岸到海岸)沉积物中的真菌多样性、丰度及组成进行了研究。
结果表明,随着距离海洋的增加,真菌α多样性呈现明显下降趋势。电导率(EC)和硝态氮(NO3--N)被认为是塑造真菌群落结构的主要环境因素。Ascomycota 菌门和Glomeromycota菌门在芦苇群落中显示出最高的相对丰度,其中Ascomycota 菌门在所有植被群落中均保持优势地位。相比之下,Mortierellomycota, Rozellomycota 和Zoopagomycota菌门的相对丰度较低。总体而言,盐度是这个动态的河口湿地生态系统中真菌群落变化的关键驱动因素。这些发现加深了我们对新生河口湿地中真菌群落动态及其环境决定因素的理解,并为未来的生态监测和管理提供了科学依据。

图1 黄河口湿地不同植被群落采样点

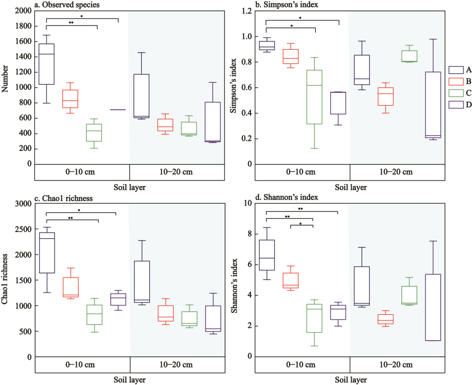
图2 黄河口湿地不同植被群落区真菌α多样性特征

图3 不同群落区优势真菌相对丰度及其与土壤理化因子的相关性
该研究成果以“Variations in Soil Fungal Community Composition Along A Salinity Gradient in Yellow River Delta, China”为题发表在《Chinese Geographical Science》期刊上,鲁东大学滨海生态高等研究院管博教授为第一作者兼通讯作者。研究得到国家自然科学基金(42471111和42107419)、山东省自然科学基金(ZR2023MD076)、山东省高校青年创新团队项目(2022KJ118)等项目的共同资助。
论文信息:GUAN Bo, LU Guanru, HOU Aixin, LYU Xiaofei, WANG Zhikang, YANG Jisong, YU Junbao, LIANG Zhengwei, QIAO Hongjin, GUAN Fachun. 2025. Variations in Soil Fungal Community Composition Along A Salinity Gradient in Yellow River Delta, China. Chinese Geographical Science. https://doi.org/10.1007/s11769-025-1562-x
论文链接:http://egeoscien.neigae.ac.cn/article/doi/10.1007/s11769-025-1562-x